可补偿PAV系列产品从输出端子到负载端子配线所引起的电压降低。
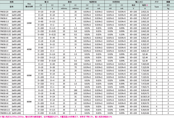
PAV系列是高功率密度,高性能的超小型恒压(CV)/恒流(CC)直流稳定电源。Max输出功率为200W,400W,600W,800W共4种,输出电压为10V~650V,共有64种机型※1。以桌面使用为前提,所有机型的高度均为2U(88mm),是统一了尺寸的高功率密度规格。该系列不仅可以进行模拟控制,通过配备CPU,还可以进行时序设定。同时,PAV系列还配备了扩展输出电流的并联运行功能(Max 6台)※2和同步运行功能※3。标准配置了系统升级时所需的USB,RS232C,RS485※4通讯接口。也可以选装LAN接口※5。内置谐波电流抑制电路,功率因数为0.99,顾及到了电力环境。
※1:包括附带LAN(with LAN)的机型
※2:额定值相同的PAV系列
※3:触发同步
※4:需要另售的RS232C,RS485转换电缆
※5:出厂选装

可补偿PAV系列产品从输出端子到负载端子配线所引起的电压降低。

以PAV系列产品的输出电压・电流为比例,会输出0~5V,或者0~10V。此外,动作状态也会在CV恒压模式下为HIGH,CC恒流模式下为LOW。

Max可并联连接6台PAV系列产品,可增加输出电流。

通过从外部对PAV系列产品连接电压,可以控制输出电压以及输出电流。

可以从外部控制PAV系列产品的ON/OFF。

用多台PAV系列产品构建多电源系统,当其中1台电源发生故障时,可使其构成的电源输出全部停止。

Max可串联连接2台PAV系列产品,可增加输出电压。也可对应双输出结构。

保护功能运作时通过TTL输出通知异常。正常动作状态下PS_OK级别为HIGH。

通过从外部对PAV系列产品,可以控制输出电压以及输出电流。

USB/RS232C/RS485接口为PAV系列产品的标准配备。Max可连接31台的PAV系列产品进行控制。此外,USB/RS232C/RS485接口内置在PAV系列产品的主机内。

可实现并联运行(相同额定的PAV系列产品)和同步运行(同步触发)。并且,通过使用选购件的机柜适配器KRA2-PAV(Max安装6台)及一半尺寸大小的一体化外壳CC01-PAV(Max安装3台)以实现一体化,进而使机柜组装以及可搬移性变得更加容易。
※即使不使用选购件的KRA2-PAV,CC01-PAV,也可实现并联运行与同步运行

Max可达4.8kW(Max6台)
在19英寸的通用机柜上

集3台电源为一体
作为桌上型电源使用


菊水贸易PAT-T 系列